成人漫画

招生就业

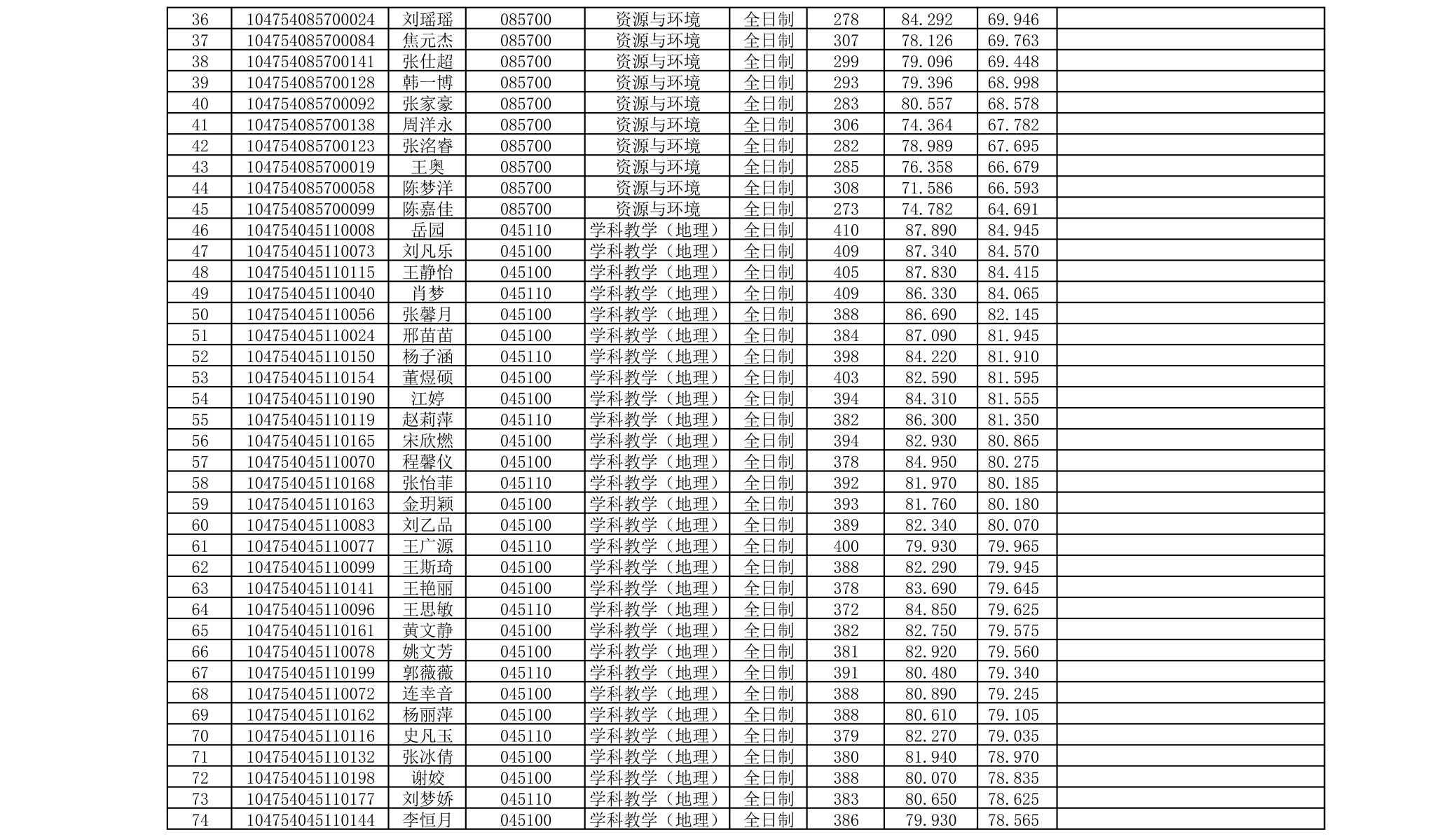
成人漫画 地理与环境学院2024年硕士研究生第二批复试成绩公示

发布时间:2024-04-08
浏览次数:5228
来源: